FANDOM


Symmetrical components - 

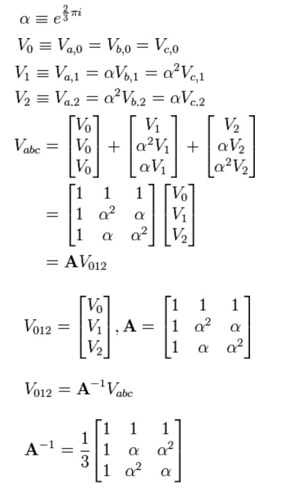
This section needs more information than I will probably provide but understanding symmetrical components is essential to understanding protection and the system.  Symmetrical components just change the three phase values (Va, Vb,Vc, Ia,Ib,Ic, Za,Zb,Zc) into components (V0,V1,V2,I0,I1,I2,Z0,Z1,Z2) that make it easier to understand what is happening in the system during unbalanced conditions.  The transformation really isn't any different than transforming x-y coordinates to polar coordinates.   There are any number of transforms that could be used (Clarke's transformation) but these are used because the components have ready meaning.

Positive Sequence - this component is referenced as being the same that is predominate on the system during normal power flow or during 3 phase faults.  It can be ABC or ACB depending on how you named your phases. Only positive sequence current or voltage represents in the phasor domain all three phases (Va, Vb,Vc or Ia, Ib, Ic) of all having equal magnitude, being 120 degrees apart from each other, and being in a order that represents positive sequence rotation.  The difference between this and negative sequence is strictly the rotation.  Positive sequence rotates counterclockwise and negative sequence rotates clockwise.  

For analysis though, both sets are represented rotating the same direction, counterclockwise.  This is done for simplification and done by swapping two of the phases.  One artifact from this though is any phase difference introduced by a transformer will have the opposite effect on the negative component.  For example,  If you have a delta-wye transformer for which the low side lags the high side by 30 degrees,  the positive sequence component will look like it lags 30 degrees but the negative sequence component will look like it leads by 30 degrees.  The transformer is acting the same on both positive and negative sequence components, as you would expect since what you call positive and negative sequence rotation is an arbitrary decision, but the resulting difference in the phasors leading and lagging differently is due to wanting to view all the sequence compenents rotating counterclockwise. 

Negative Sequence -  Like what was said earlier,  this is the opposite phase rotation.  In the phasor domain, this would be all three phasors having equal magnitude, being 120 degrees apart, and ordered to represent negative sequence rotation.  All passive quantities like transformer and transmission line impedance values will have the same values as their positive sequence values.  Motors and generators have different positive and negative sequence values.      

Zero Sequence -  This is a representation of the residual component.  If you add up the phase voltages or currents (The phasors - mag<angle) and end up with something not equal to zero, that is the zero sequence component of the voltage or current.   This component is equal to 3*V0 or 3*I0.  In the sequence domain, a single phasor represents components (Ia,Ib,Ic or Va,Vb,Vc) as all being of equal magnitude and angle.  If there is ever imbalance in the phase domain, there are zero sequence components present even if there are not any components in the other phases.   

During faults, the zero sequence component represents the separation of neutral from ground. All grounds are at 0 zero sequence voltage. During unbalanced faults, a negative or positive zero sequence (depending on the fault) voltage develops at the faults and zero sequence current flows to or from your earth sources.

Sequence Components in the phase domain

Sequence Components in the Phase Domain










Symmetrical components equations

Symmetrical and Phase Components Relations























                                                             

                            

From just eyeballing, a set of phasors in the phase domain it is possible to identify the presence of each component. A positive sequence component will always be present in any set of faulted phasors due to all the sources ,generation, being positive sequence sources. If the neutral point has moved from ground, there are zero sequence components present. If the phase to phase components aren't ordered correctly and form an equilateral triangle, negative sequence components are present. Beyond that, it is difficult to identify a rough magnitude and angle of each sequence component without carrying out the transformation.


Mutual coupling impacts your zero sequence components. Mutual coupling is the effect two near transmission lines have due to their magnetic fields interacting. The effect that this has is that the zero sequence currents during a fault may be larger or smaller than would otherwise due to an induced zero sequence. Mutual coupling creates an in-series zero sequence voltage at the coupling point.


Mutual coupling

Single line to ground fault with mutual coupling







An odd effect of this which is brought up in Protective Relaying: Principles and Applications by Blackburn pg. 464, is that mutual coupling can cause zero sequence currents to circulate in nearby systems. Mutual coupling could cause ground currents to circulate in an ungrounded, high impedance grounded, or grounded systems that may have no zero sequence path (blocked by a transformer delta or no transmission connection) to the fault. In the case review in Blackburn, a plant had two breakers which operated on the circulating zero sequence currents. Normally, without mutual coupling the wye-grounded-delta transformer would have provided isolation of the industrial system's ground protection from the ground faults on the transmission system.

Blackburn mutual coupling example

Blackburn - Mutual coupling causing misoperation on two adjacent lines



Good links:

Presentation to IAS "Power System Calculations - Part 2" by Kurt Ederhoff

FREE Power Quality Teaching Toy by Alex McEachern of Power Standards Lab- I couldn't recommend this more. It beats playing with your calculator to try to get a rough idea of how the two domains relate to each other.

Power Analysis by Grainger and Stevenson - a really good book

OpenElectrical page on Symmetrical Components

Origin of the concept of symmetrical components paper "Method of Symmetrical Co-ordinates applied to the solution of polyphase networks" by C.L. Fortescue

SEL "Tutorial on Symmetrical Components Part 1" by Ariana Amberg and Alex Rangel

SEL "Tutorial on Symmetrical Components Part 2" by Ariana Amberg and Alex Rangel